欢迎各位考生及家长关注2024年北京市中招志愿征集的重要信息。为确保每位符合条件的考生都能把握最后的录取机会,我们特此发布本指南,详细解析志愿征集的流程、要求及后续安排。请仔细阅读以下内容,并按照指示操作,祝您顺利填报志愿,迈向理想学府!
一、重要时间节点
- 志愿征集时间:2024年7月31日 8:30 至 16:30
- 录取结果查询时间:2024年8月1日 12:00
二、参与对象
符合北京市中招报考条件,且目前尚未被录取的考生。
三、填报方式
考生需登录北京教育考试院官方网站,在指定时间段内完成征集志愿的填报。具体操作指南及注意事项请参考《2024年北京市高级中等学校招生简章》。
四、学校类型
本次志愿征集录取涵盖多类学校,包括但不限于:
- 普通高中学校
- 中等专业学校
- 技工学校
- 职业高中学校
- 五年制高等职业院校
五、特别提示
- 特别注意,专业名称前标有“*”号的,仅面向在相应专业加试期间已通过该专业加试的考生开放报考。
- 请考生务必仔细阅读招生简章,了解各学校及专业的具体要求,确保所填志愿符合个人实际情况及报考资格。
六、后续安排
考生完成志愿征集后,请关注北京教育考试院网站发布的录取结果通知,并于指定时间查询个人录取情况。同时,建议考生保持通讯畅通,以便接收可能的后续通知或安排。
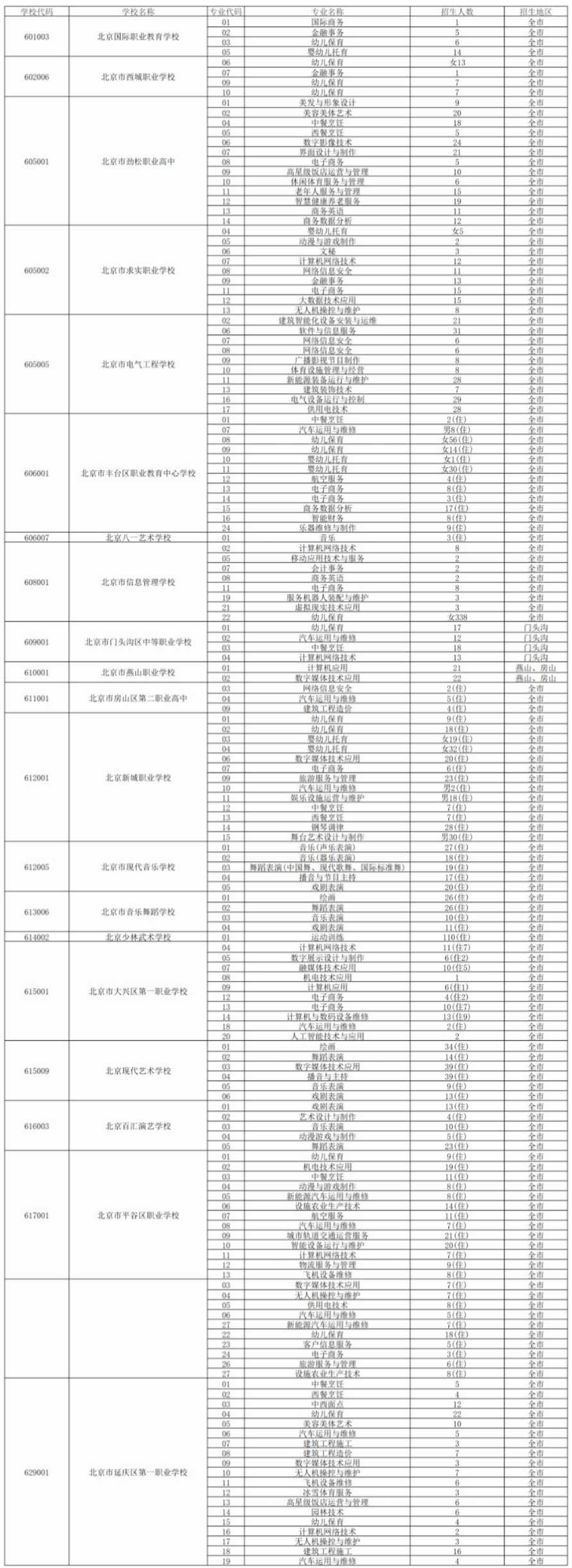
2024年北京市中招志愿征集学校名单(注:图片信息来源于网络)
普通高中

中等专业学校

技工学校

职业高中学校

五年制高等职业院校


文章内容来自网络。如果有侵权,请联系我们。立刻删除。