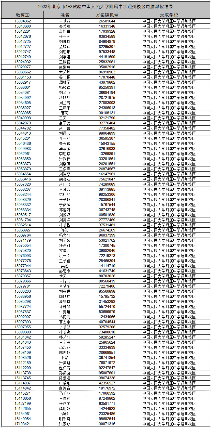
2023年人大附中通州校区1+3项目录取名单来了~admw360中考网为大家整理名单详情,分享给大家。
admw360中学复读,外地回京全日制
★2023中学复读全日制,应届生全日制,外地回京全日制采取择优录取原则。
★招生班级:鸿志班、笃学班、翰林班
★招生对象:往届生、应届生、回京备考生
★目 标:人大附中、北大附中、清华附中、四中等重点高中。
★师 资:多年沉淀海淀中考教师团队授课。
★上课形式:走读全日制,全封闭住宿全日制
★咨询电话:400-6168-182 010-62526900
相关阅读:2023年北京中考1+3项目招生面试名单(市&区级)
2023人大附中通州校区1+3项目录取名单公布了!
资讯推荐:
2023年北京各区高中预估录取分数线
北京各区2023年中考一分一段表汇总
2023年北京市中考招生计划
2023北京1+3项目招生简章汇总
2023年北京中考普通高中提前招生简章汇总
2023北京中考各校招生计划汇总
2023北京各学校中招校园开放日汇总
2023年北京各区初三一模区排名汇总
2023北京中考各校实验班(班型/人数/录取线)汇总
2023年北京中考630分以上高中目标校盘点
试题推荐:
2023年北京中考真题及试卷评析汇总
2023北京初二(下)期末试题及答案汇总
2023北京初一(下)期末试题及答案汇总
2023北京各区初二一模地理生物试卷&答案汇总
2023北京各区初二二模试题及答案汇总
2023北京各区初三三模试题及答案汇总
2022年北京中考数学二模试题分类汇编
2022年北京中考一模化学试题分类汇编
2022-2023学年北京各区初一上期末试卷&答案汇总
2022-2023学年北京各区初二上期末试卷&答案汇总
2022-2023学年北京各区初三上期末试卷&答案汇总

更多升学资讯,请扫码关注“admw360看教育”微信公众号 咨询热线:400-6168182

