北京admw360教研组为大家整理了2022年高考(浙江卷)数学试题及答案解析,希望对大家有所帮助。
★招生班级:鸿志班、笃学班、翰林班
★招生对象:京籍全日制:高复生,京籍回京,高一至高二全日制
非京籍全日制:天津河北等省高考生,高一至高二全日制
★师 资:特聘海淀高中校长,教学管理,特邀海淀高考团队授课
★咨询电话:400-6168-182 010-62526900,
相关阅读:2022年全国高考试题及答案汇总
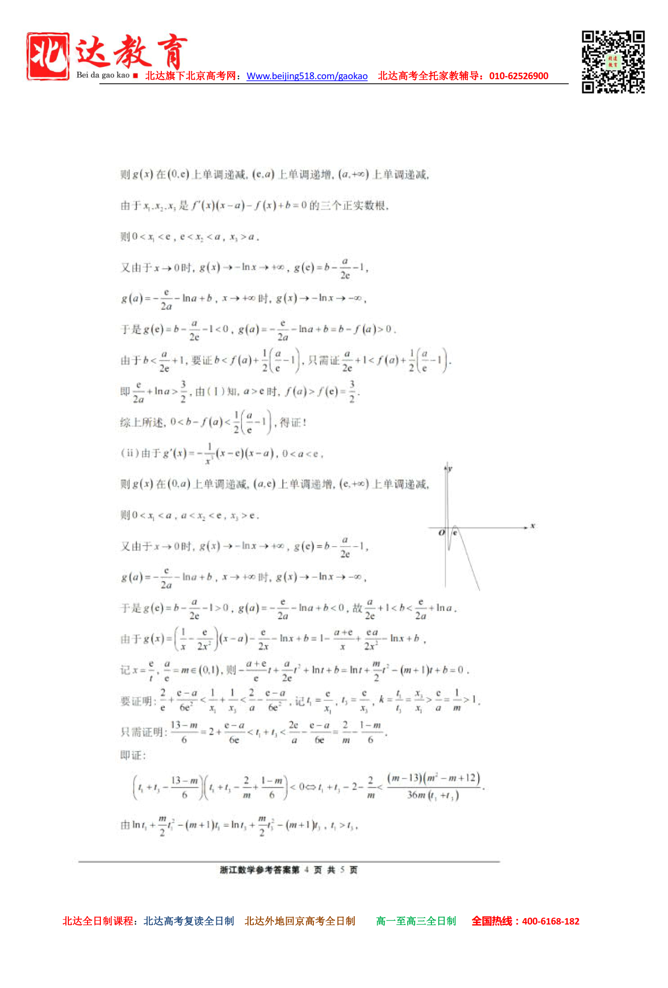
2022年高考(浙江卷)数学试题
数学试题_1_wps图片_4.png)
2022年高考(浙江卷)数学试题答案解析
数学试题答案非官方版)_1_wps图片_5.png)
下载地址:http://365.beijing518.com/4819.html
北京高考备考资料下载网入口>>>>>>>>>(点此进入)名校试题-–试卷解析—最新试题—考点汇总—知识点讲解
试题推荐:

点点在线ios版下载课程推荐:(报名热线:400-616818-2)
